تکنیک ارزیابی معیارهای عملکرد فرآیند یکی از تکنیک های تحلیل کمی فرایندها
ابعاد عملکرد فرآیند چست؟
هر سازمانی به طور ایده آل می خواهد فرآیندهای خود را سریع تر- ارزان تر و بهتر نماید . بنابراین توجه تیم های فرآیندی سازمان به سمت شاخص هایی نظیر زمان – هزینه – کیفیت جلب خواهد شد .
شاخص چهارم که به شدت به آن نیاز داریم ، انعطاف پذیری فرآیند می باشد .
در حالت عادی و بدون بروز مشکل یک فرآیند به صورت عادی انجام می پذیرد ولیکن در صورت بروز یک حادثه ( مانند حوادث طبیعی و …) فرآیند می بایست انعطاف پذیری در برابر تغییرات ناگهانی داشته باشد .
بنابراین شاخص های ( زمان – هزینه – کیفیت – انعطاف پذیری ) را می توان به تعدادی از شاخص های عملکرد کلیدی یا KPI نسبت داد .
بعد عملکردی زمان
اولین بعد عملکردی هنگام تجزیه و تحلیل فرآیندها ( زمان ) می باشد که یک معیار بسیار رایج برای اندازه گیری عملکرد فرآیندها ( زمان چرخه ) می باشد .
زمان چرخه که ( زمان تولید ) هم نامیده می شود، زمانی است که برای رسیدگی به یک مورد از فرآیندها از ابتدا تا انتها طول می کشد .
انواع شاخص زمان
- زمان پردازش ( زمان خدمت دهی ) : زمانی که منابع درگیر در فرآیند ، مورد استفاده قرار می گیرند .
- زمان انتظار : زمانی که یک مورد در حالت آماده به کار به سر می برد ( زمان صف ) ، به دلیل اینکه هیچ منبعی برای رسیدگی به مورد وجود ندارد و یا نیاز به هماهنگ سازی با فرآیند دیگر دارد .
بعد هزینه فرآیند کسب و کار
بعد رایج دیگر در عملکرد فرآیند که ماهیت مالی دارد هزینه می باشد که ممکن است تاکید بر روی گردش، بازده و یا درآمد باشد.
بدیهی است افزایش بازده می تواند به عنوان یک کاهش هزینه در سود سازمان تاثیر بگذارد، با این حال طراحی مجدد فرآیندها اغلب با کاهش هزینه همراه است.
انواع هزینه
- هزینه های ثابت: هزینه های سرباری که توسط کثرت و تعداد دفعات اجرای فرآیند تحت تاثیر قرار نمی گیرد مانند هزینه های زیرساخت و نگهداری.
- متغیر: با برخی از متغیرها رابطه مستقیم دارد مانند میزان فروش- کالاهای خریداری شده و …
- عملیاتی: به طور مستقیم به خروجی فرآیندهای کسب و کار وابسته است. مانند هزینه های منابع انسانی در تولید یک محصول و یا ارائه خدمات.
در طراحی مجدد فرآیندهای کسب و کار تمرکز بر روی کاهش هزینه های عملیاتی می باشد. به ویژه هزینه های نیروی کار که اغلب با خودکارسازی فرآیند انجام می شود.
نکته: اتوماسیون سازی ممکن است هزینه نیروی کار را کاهش دهد ولیکن می تواند باعث افزایش هزینه های غیر مستقیم مربوط به توسعه نرم افزار و هزینه های ثابت تعمیر و نگهداری شود.
بعد کیفیت
- کیفیت خارجی: میزان رضایت مشتری از محصول یا فرآیند
رضایت از محصول می تواند میزانی باشد که مشتری احساس می کند انتظاراتش برآورده شده است که اغلب از جنس زمان می باشد.
- کیفیت داخلی: دیدگاه افراد درگیر در فرآیند و میزان رضایت از نحوه اجرای فرآیند
تکنیک های تحلیل کمی
تحلیل جریان در تکنیک های تحلیل کمی فرایندها
گروهی از تکنیک هایی است که به ما امکان می دهد تا عملکرد کلی فرایند را با توجه به دانشی که در مورد عملکرد فعالیتها داریم تخمین بزنیم.
محاسبه زمان چرخه با استفاده از تحلیل جریان
زمان چرخه فرایند میانگین زمانی است بین لحظه ای که یک فرایند شروع می شود تا لحظه ای که تکمیل می گردد.
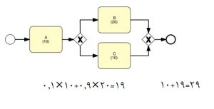
در فرایند زیر اگر 90% از انشعاب بالا و 10% از انشعاب پایین جران داشته باشیم زمان چرخه به صورت زیر محاسبه می گردد:

به طور کلی زمان چرخه فرایند بین انشعاب XOR و ادغام XOR میانگین وزنی زمان های چرخه انشعاب های موجود است و زمان چرخه یک بخش از مدل فرایند به شکل زیر می باشد.
مواردی که شامل دروازه های موازی هستند و وظایف به صورت موازی انجام میپذیرند زمان چرخه ترکیبی آنها توسط فعالیتی که از همه آهسته تر است تعیین می شود.
تحلیل جریان در دوباره کاری
مواردی که احتمال تکرار بخشی از فرایند در زمانهای مختلف وجود داشته باشد دوباره کاری (بازنگری) نامیده می شود.

در شکل بالا فعالیت B با احتمال 0.2 ممکن است دوباره اجرا شود و اگر این استدلال را ادامه دهیم اگر فعالیت B 3 بار اجرا شود احتمال دوباره کاری 0.2*0.2=04/0 می باشد.
به طور کلی احتمال اینکه وظیفه B، N بار انجام شود 0/2 به توان N است.
اگر زمان چرخه را در مواردی که B اجرا شود اضافه کنیم به جمع زیر خواهیم رسید که در اصل تعداد دفعاتی است که انتظار می رود فعالیت B اجرا شود.
اگر 2/0 را با متغیر r جایگزین کنیم این جمع یک سری هندسی است که معادل 1/(r-1) است.
به طور کلی زمان چرخه ی بخش با ساختار نشان داده شده در شکل بالا برابر است با:

کارایی زمان چرخه
زمان چرخه فعالیت یا فرایند شامل:
زمان انتظار: بخشی از زمان چرخه که طی آن هیچ کاری برای پیش برد فرایند انجام نمی شود.
مثال: زمان صرف شده جهت انتقال اطلاعاتبین مجریان فرایند مانند زمانی که اسناد توسط پست مبادله می شوند.
زمان پردازش
هنگام تجزیه وتحلیل فرایند با هدف بررسی مسائل مربوط به زمان، ممکن است ارزیابی نسبت کل زمان پردازش به کل زمان چرخه مفید باشد. این نسبت کارایی زمان چرخه 1نامیده میشود. کارایی زمان چرخه نزدیک به 1 نشان میدهد که اقدامات کمی برای بهبود زمان چرخه وجود دارد، مگر اینکه تغییرات نسبتاً ریشه ای در فرآیند معرفی شود. نسبت نزدیک به صفر نشان میدهد که با کاهش زمان انتظار فضای قابل توجهی برای بهبود زمان چرخه وجود دارد.
نمونه محاسبه کارایی زمان چرخه

زمان چرخه و کار در فرایند در تکنیک های تحلیل کمی فرایندها
زمان چرخه مستقیماٌ به دو شاخص مرتبط است:
- نرخ ورود: میانگین تعداد نمونه های جدیدی از فرایند که در هر واحد زمانی ایجاد می شوند. که معمولاٌ با l نمایش داده می شوند.
- کا در فرایند WIP: تعداد نمونه هایی از یک فرایند که در یک زمان فعال هستند. یعنی میانگین تعداد نمونه هایی که هنوز کامل نشده اند.
زمان چرخه CT نرخ ورود l و WIP مربوطه به یک قانون به نام لیتل است که بیان می کند.
قانون لیتل بیان می کند اگر زمان چرخه یا نرخ ورود به فرایند افزایش پیدا کند WIP افزایش می یابد.
اگر نرخ ورود افزایش یابد و بخواهیم WIP را حفظ کنیم باید زمان چرخه را کاهش دهیم.
قانون لیتل بیان می کند میزان کار در انتظار انجام از کنترل خارج نمی شود.
اگر نرخ ورود و WIP را بدانیم می توانیم از قانون لیتل به عنوان روش جایگزین محاسبه کل زمان چرخه فرایند استفاده کنیم.
اگر در یک فرایند تعداد کل درخواست های پردازش شده طی یک دوره زمانی را بدانیم نرخ ورود به راحتی محاسبه می شود.
مثال: اگر 250 روز کاری در سال وجود داشته باشد و بدانیم کل درخواست های سال گذشته 2500 بوده است، می توان میانگین درخواست ها در هرروز را 10 در نظر گرفت.
از سوی دیگر WIP را می توان با نمونه گیری محاسبه کرد. به عنوان مثال می توانیم بپرسیم چند درخواست در یک زمان معین فعال هستند، سپس یک هفته بعد مجدداٍ و دو هفته بعد مجدداٌ بررسی می نماییم.
به طور متوسط در یک زمان 200 درخواست فعال است بنابراین زمان چرخه:
به طور متوسط روزانه 1200 مشتری )بین ساعات 10 صبح تا 10 بعدازظهر( وارد رستورانی میشوند. در زمان پیک اوج شلوغی از ساعت 12 تا 3 و از ساعت 6 تا 9 بعدازظهر(، در مجموع حدود 900 مشتری وارد رستوران میشوند و به طور متوسط همزمان90 مشتری در رستوران حضور دارند. در زمانهای غیر پیک، در مجموع 300 مشتری وارد رستوران میشوند و به طور متوسط 30 مشتری در یک زمان مشخص در رستوران یافت میشوند.
- میانگین زمانی که مشتری در ساعات پیک کاری در رستوران صرف میکند چقدر است؟
- میانگین زمانی که مشتری در طول ساعات غیرپیک در رستوران صرف میکند چقدر
- است؟
- محل رستوران حداکثر ظرفیت 110 مشتری را دارد. گاهی طی ساعات اوج ظرفیت به حداکثر میرسد. مدیر رستوران انتظار این را دارد که کم کم تعداد مشتریان در ساعات اوج در ماههای آینده افزایش یابد. رستوران برای حل این مسئله بدون سرمایهگذاری در گسترش ساختمان خود چه کاری میتواند انجام دهد؟
قانون لیتل به ما میگوید که: CT = WIP / λ . در زمان اوج در 6 ساعت، 900 مشتری وجود دارند، بنابراین میانگین نرخ ورودی λ = 150 مشتری در ساعت است. از سوی دیگر در زمان اوج WIP = 90 است. بنابراین CT = 90/150 = 0.6 ساعت )یعنی 36 دقیقه(. در غیر ساعات اوج، λ = 300/6 = 50 مشتری در ساعت است در حالیکه WIP = 30 و در نتیجه CT = 30/50 = 0.6 ساعت )دوباره 36 دقیقه( است. اگر این انتظار وجود داشته باشد درحالیکه تعداد مشتریان در هر ساعت در زمانهای اوج افزایش مییابد، WIP ثابت باقی بماند، باید زمان چرخه را برای هر مشتری کاهش دهیم. این ممکن است از طریق کوتاه شدن زمان خدمتدهی یا کوتاه شدن فاصله زمانی بین لحظهای که مشتری وارد رستوران میشود و لحظهای که سفارش میدهد یا کوتاه شدن زمان مورد نیاز برای پرداخت صورتحساب مشتری به دست آید. به عبارت دیگر فرایند سفارش و پرداخت باید مجدداً طراحی شوند.
تحلیل هزینه جریان فرایند در تکنیک های تحلیل کمی فرایندها
در تحلیل هزینه جریان فرایند همانند تحلیل زمانی عمل می نماییم.
- هزینه بلوک XOR میانگین وزنی هزینه شاخه های XOR است.
- در دوباره کاری ها هزینه کل حلقه تقسیم بر 1-r است.
- هزینه بلوک AND همانند محاسبه زمان نیست، بلکه مجموعه هزینه های شاخه ها است. این موضوع به این علت است که پس از انشعاب AND همه شاخه ها فعال می شوند تا در ادغام AND دوباره به هم متصل شوند.
مثال:
معمولاٌ هزینه ها دو جزء می باشند:
- هزینه های منابع انسانی: به عنوان هزینه ساعتی منابع و زمان پردازش در ساعت حساب می شوند
- هزینه های دیگر: هزینه ای که توسط اجرای یک فعالیت دیگر به وجود آمده است مثل استعلام از یک سیستم خارجی
در مثال فوق بررسی کامل بودن با احتمال 20% دوباره کاری و ایجاد پیشنهاد اعتبار با احتمال 60% و اعلان در درخواست با احتمال 40% انجام می شود.
بررسی کامل بودن، بررسی تاریخچه اعتبار و بررسی منابع درآمد توسط یک کارمند و ساعتی 25 دلار محاسبه می شود.
ارزیابی درخواست، ایجاد پیشنهاد اعتبار و رد درخواست توسط کارمند اعتبار و ساعتی 50 دلار محاسبه می شود.
بررسی تاریخ اعتبار نیازمند استعلام از یک سیستم خارجی است که به ازای هر درخواست مبلغ 1 دلار می باشد.
تکنیک های تحلیل کمی

برای مطالعه بیشتر درباره تکنیک های تحلیل کمی فرایندها اینجا کلیک کنید.


بدون دیدگاه